Контрольная работа №3.
Учим химию / Органическая химия / Учим химию / Органическая химия / Контрольная работа №3. Контрольная работа №3.
Страница 2

Продукт: 3-метилпентен-2-овая кислота

5 Определите строение соединения

C

7

H

7

O

2

N

,

которое широко используется для производства различных красителей и обладает следующими свойствами: а) горит коптящим пламенем; б) растворяется в водном растворе

NaHCO

3

с выделением С

O

2

; в) растворяется в

HCI

;

г) при бромировании бромной водой превращается в дибромопроизводное; д) диазотируется; е) способно к образованию внутримолекулярной водородной связи

Структурная формула соединения (2-аминобензойная кислота):

а). Горение

б).Растворение в водном растворе соды

в). Растворение в соляной кислоте

г).бромирование бромной водой

д). Диазотирование

е) образование водородной связи (отмечена волнистой линией)

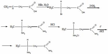
6 Осуществите превращения, укажите условия реакций:

Цепочка реакций представлена ниже

7 Напишите строение участка РНК-АУ (Аденин-Урацил). Укажите сложноэфирные и гликозидные связи

Синим обозначены сложноэфирные связи, красным – гликозидные.

8 Напишите схемы кислотного и щелочного гидролиза 5' - дезоксиадениловой кислоты. Продукты назовите

Кислотный гидролиз

Продукты: рибофосфат, аденин

Щелочной гидролиз:

Продукты: о-фосфорная кислота, аденозин

Страницы: 1 2 

Смотрите также

Выбор катализатора амидирования и изучение в его присутствии превращения м-толуиловой кислоты в N,N-диэтил-м-толуамид
Проблема получения репеллентов представляет большой интерес, т.к. они отличаются от других пестицидов высокой специфичностью действия, вызывая отрицательный хемотаксис одноклеточных организ ...

Роль свободных радикалов в природной среде
Вся природа, окружающая нас, состоит из химических веществ и их соединений различной структуры. Их все можно разделить на различные группы по самым разнообразным признакам: состав, строение ...

P-V-T соотношения: реальный газ и идеальный газ
Механическое состояние вещества в отличие от термодинамического можно описать при наличии известных величин давления, температуры и объема. Эти три параметра связаны между собой уравнением ...