Контрольная работа №3.
Учим химию / Органическая химия / Учим химию / Органическая химия / Контрольная работа №3. Контрольная работа №3.
Страница 1

1 На примере

D

- галактозы покажите явление оксо - гидрокситаутомерии Из галактозы получите этил-α-

D

-галактопиранозид. В какой среде данное соединение гидролизуется? Продукты гидролиза назовите

Схема таутомерии выглядит следующим образом:

http://www.xumuk.ru/organika/ch-1338.gif

Получение этил-α-D-галактопиранозида

Как полные ацетали галактозиды гидролизуются в условиях кислотного катализа и устойчивы в разбавленных растворах щелочей. Механизм кислотного гидролиза включает протонирование галактозидного кислорода, расщепление галактозидной С-О связи с образованием галактозил-катиона, который затем атакуется молекулой воды. В результате образуется α-D-галактоза и этанол.

2 Приведите схемы полного метилирования и ацетилирования

[

β

-

D

ксилофуранозы и последующего гидролиза полученных продуктов в присутствии кислоты. Продукты реакций назовите

Метилирование и последующий гидролиз. Продукт метилирования – метил-β -D ксилофураноза, продукт гидролиза - β -D ксилофураноза и метанол

Ацетилирование (продукт – ацетат β -D ксилофуранозы) и последующий гидролиз (продукт – β -D ксилофураноза и уксусная кислота)

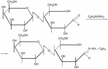
1. Напишите схемы реакций лактозы со следующими реагентами: а). уксусным ангидридом; б) гидроксиламином; в) фенилгидразином; г) диметилсульфатом в щелочной среде. Продукты назовите. Укажите значение данных реакций.

а). Реакция с уксусным ангидридом

Продукт – 2,3,4,6,1`,2`,3`6`- октаацетат лактозы

б). реакция с гидроксиламином

Продукт: Оксим лактозы

в). Реакция с фенилгидразином

Продукт – фенилгидразон целлюлозы

г). Реакция с диметилсульфатом в щелочной среде

Продукт – метил - 2,3,4,6,1`,2`,3`6`-окта- О-метиллактоза

2 Напишите структурную формулу дисахарида, состоящего из

p

-

D

-глюку роновой кислоты и 2-

N

-ацетил-4-сульфо-

D

-галактозамина, связанных β-

(

I

3) гликозидной связью. В состав какого биополимера входит этот дисахарид?

Структурная формула:

Данный дисахарид является мономером хондроитина, входящего в состав хрящевых тканей

3 Синтезируйте дипептид: валин - лейцин с использованием «защиты» (бензиловым эфиром хлормуравьиной кислоты) и «активации» (этилхлорформиатом). Укажите пептидную связь, С- и

N

-конец, рН среды полученного дипептида

Красным эллипсом обведена пептидная связь, С- и N-концы обведены, соответственно, зеленым и фиолетовым прямоугольниками. pH среды меньше 7.

4 Напишите реакции изолейцина с формальдегидом,

NaOH

,

HCI

,

С2Н5ОН (НС1), 2,4-динитрофторобензолом, нингидрином, декарбоксилирования, дезаминирования. Продукты назовите

Реакция с формальдегидом:

Продукт – 2,2-N,N-диметил-3-метилпентановая кислота

Реакция с гидроксидом натрия

Продукт: 2-амино-3-метилвалерат натрия

Реакция с HCl

Реакция с этанолом:

Продукт: этиловый эфир изолейцина.

Реакция с 2,4-динитрофторобензолом:

Продукт: ДНФ-производное изолейцина

Реакция с нингидрином:

Продукты: сине-фиолетовый продукт реакции, вода, углекислый газ, 2-амино-3-метилпентаналь

Реакция декарбоксилирования

Продукт: 1-амино-2-метилбутан

Реакция дезаминирования

Страницы: 1 2

Смотрите также

Расчет двух ректификационных установок непрерывного действия для разделения смеси этилацетат – толуол
Ректификация - массообменный процесс, который осуществляется в большинстве случаев в противоточных колонных аппаратах с контактными элементами (насадки, тарелки), аналогичными используемыми ...

Влияние состава растворителя на микроволновый синтез нанопорошка CuInSe2
Нанотехнология в последние годы стала одной из наиболее важных и захватывающих областей знаний на переднем крае физики, химии, биологии, технических наук. Она подаёт большие надежды на скор ...

d-элементы I-ой группы и их соединения
...