Нінгідринова реакція.

Нінгідринова реакція обумовлена наявністю амінокислот, що мають аміногрупи в б-положенні. Білки, поліпептиди і амінокислоти утворюють із нінгідрином з'єднання синього або синьо-фіолетового кольорів (при нагріванні). Нінгідринова реакція є однієї з найбільш чутливих для виявлення б-аміногруп.

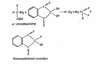
Сутність реакції полягає в тім, що б-амінокислоти і пептиди, реагуючи з нінгідрином, піддаються окисному дезамінування і декарбоксілюванню:

Відновлений нінгідрин взаємодіє з аміаком і другою молекулою нінгідрину, утворюють зафарбоване з'єднання (пурпурний Руеманна).

Техніка виконання роботи: до 5–10 крапель розчину аспартама додають 6–10 краплі 0,2% розчину нінгідрину. Нагрівають до кипіння на водяній лазні. З'являється фіолетово-синє забарвлення за рахунок утворення продукту конденсації нінгідрину з амінокислотою.

Смотрите также

Огнестойкие композиции на основе полибутилентерефталата
"В химии нет отходов, есть только неиспользованное сырье" Д. И. Менделеев. Как известно, развитие современной техники невозможно без исследования пластических масс, в особенност ...

Количественный анализ силибина в экстрактах, полученных с использованием субкритической воды
Хорошее здоровье – основа долгой, счастливой и полноценной жизни. Чтобы поддерживать здоровье, необходимы знания о свойствах применяемых лекарств, лекарственных растений, а также биологичес ...

Интересные и опасные свойства ртути
...