Образование новых С=С и С–С связей в условиях микроволнового облучения
Дипломы, курсовые и прочее / Ультрафиолетовое отверждение лаков и красок / Дипломы, курсовые и прочее / Ультрафиолетовое отверждение лаков и красок / Образование новых С=С и С–С связей в условиях микроволнового облучения Образование новых С=С и С–С связей в условиях микроволнового облучения

Для образования двойной углерод-углеродной связи используют альдольно-кротоновую конденсацию или родственные ей реакции (примеры №№ 1-7, табл. 2); конденсацию нитрометана и его производных с 5-нитро-6-хлорметилимидазо-тиазолом (№ 8), бензальдегидом и его производными (№ 9); реакцию Виттига (№№ 10-12); реакции элиминирования (№ 13). В микроволновых условиях конденсация хлорметилимидазотиазола с производными нитрометана идет в 240 раз быстрее, чем при термической активации (см. табл. 2).

Введение в органическую молекулу двойной связи по Виттигу в условиях МВО (примеры №№ 10-12) проходит с небольшим ускорением по сравнению с термической реакцией, причем использование привитых на подложку реагентов не изменяет время проведения реакции.

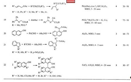
В табл. 2 приведены также примеры образования новой С–С-связи в условиях МВО (примеры №№ 14-22). Для этого использовали реакции аллильного замещения, С-алкилирования, С-аминоалкилирования, окислительного сочетания. Здесь уместно остановиться на примере асимметрического аллильного алкилирования метил-(Е)-3-фенилаллилкарбоната (пример № 17), в котором изучено влияние природы катализатора (ср. с примером № 15) и растворителя, мощности излучения.

Таблица 2. Образование новых С=С- и С–С-связей в условиях микроволнового облучения.

Смотрите также

Свойства элементов VA и VIA.
Цель работы: изучение химических свойств элементов - азота, фосфора, кислорода и серы. Азот и фосфор являются элементами VA группы периодической системы. На внешнем энергетическом уровне атомов ...

Производство поливинилбутираля
Химическая промышленность прошла бурный путь развития в период 50-х – 80-х годов. В отрасли был создан значительный производственный потенциал. Однако он был ориентирован на цели командно–а ...

Специфичность фермента амилазы
Одним из фундаментальных понятий, как биологии, так и химии является понятие «фермент».Изучение ферментов имеет большое значение для любой области химической, пищевой и фармацевтической промышленн ...