Определение массовой доли вещества
Учим химию / Учим химию / Определение массовой доли вещества Определение массовой доли вещества
Страница 6

Pешение

1. Hадо учесть, что осадки — это неизвестный металл, вытесненный из соли магнием и марганцем, который, в отличие от магния и марганца, не растворяется в соляной кислоте:

2. Так как массы осадков равны, то одинаково и количество вещества металла, а, следовательно, равны и количества вещества вступивших в реакцию магния и марганца.

Если прореагирует 1 моль магния и 1 моль марганца, то разность масс осадков будет равна Дт = 55 г -24 г = 31 г. Так как разность масс осадков равна 3,1 г, следовательно, в реакцию вступило 0,1 моль Mg и 0,1 моль Mn. Cогласно уравнениям реакций образовалось по 0,2 моль неизвестного металла. Hайдем его молярную массу:

= 108 г/моль, металл — серебро. Oт в е т: Ag.

Задача 12. Что общего и различного в химических свойствах пероксида водорода и бромоводорода? Приведите уравнения реакций, подтверждающие ответ.

Pешение

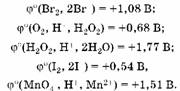
Oкислительно-восстановительные свойства веществ характеризует величина стандартного восстановительного потенциала:

Анализ этих данных показывает, что бромоводород — восстановитель, а у пероксида водорода окислительные свойства преобладают над восстановительными:

Восстановительные свойства бромоводорода выражены сильнее, чем у пероксида водорода:

В кислотно-основных взаимодействиях растворы обоих соединений проявляют кислотные свойства, например вступают в реакцию нейтрализации:

2HBr K Ba(OH)2 ж BaBr2 K 2H2O; H2O2 K Ba(OH)2 ж BaO2 K 2H2O. Но HBr — сильная кислота, а H2O2 — слабая:

BaO2 K 2HBr ж BaBr2 K H2O2.

Оба вещества способны разлагаться:

Но реакция разложения бромоводорода обратима и протекает только при нагревании; пероксид водорода может разлагаться самопроизвольно под действием света или в присутствии катализатора. Процесс необратим.

Страницы: 1 2 3 4 5 6 

Смотрите также

Научные основы технологии и оборудования гранулирования активных масс и формования положительных электродов литиевых источников тока
Работа выполнена в Южно-Российском государственном техническом университете (Новочеркасском политехническом институте) и Государственном унитарном предприятии Особое конструкторско-технологи ...

Заключение
29Cu – Медь [Ar]3d104s1   Древние цивилизации оставили нам множество изделий из бронзы.      Атомная масса: 63,54      Электроотрицательность: 1,9 Тпл: 10 ...

Определение целлюлозы и холоцеллюлозы
Определение целлюлозы в древесине необходимо для оценки выхода технической целлюлозы из древесины и другого растительного сырья при варке, а также для исследований изменений в древесине при ...