Основные представлени о методах расчета молекулярных орбиталей. Метод Хюккеля
Органическая химия / Атомные и молекулярные орбитали / Органическая химия / Атомные и молекулярные орбитали / Основные представлени о методах расчета молекулярных орбиталей. Метод Хюккеля Основные представлени о методах расчета молекулярных орбиталей. Метод Хюккеля
Страница 3

После всего сказанного очевидно, что в методе МОХ используется так много сомнительных предположений, что он не может давать хорошие результаты. Тем не менее это не так: для чисто углеродных π-систем рассчитанные свойства очень хорошо согласуются с экспериментом. Исследования, проведенные М.Дьюаром, показали, что этот факт обусловлен удачным взаимным сокращением ошибок, а также характером молекул, к которым этот метод применим (сопряженные π-системы).

Используя предположения Хюккеля, для аллильной π-системы из уравнений (1.8) и (1.9) получаем

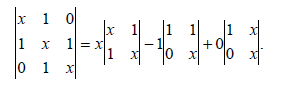
Далее этот детерминант разбиваем на (2х2)-детерминанты путем суммирования

Далее этот детерминант разбиваем на (2х2)-детерминанты путем суммирования произведений каждого члена верхнего ряда на множитель, который определяется правилом: множитель j-го члена есть детерминант, полученный путем удаления j-й колонки и верхнего ряда матрицы:

Заметим, что четные члены при разбиении матрицы всегда должны быть

Заметим, что четные члены при разбиении матрицы всегда должны быть отрицательны. Детерминант типа (2х2) решаются простым перекрестным умножением и вычитанием произведений:

В результате получаем уравнение

В результате получаем уравнение

Таким образом, энергии аллильных π-орбиталей, измеренные относительно

Таким образом, энергии аллильных π-орбиталей, измеренные относительно несвязывающего уровня α, будут иметь значения , т.е. 1.41β, 0 и -1.41β. Отметим, что, 0 и эти энергии очень близки к величинам, рассчитанным методом возмущений (1.5; 0 и, т.е. 1.41β, 0 и -1.41β. Отметим, что эти энергии очень близки к величинам, рассчитанным методом возмущений (1.5; 0 и -1.5; см. рис. 2.11 в гл.2).

Общая энергия π-электронов аллильной системы определяется выражением

где ni = число элетронов на орбитали i. Следовательно,

где ni = число элетронов на орбитали i. Следовательно,

где множитель 2 соответствует двум электронам на данной орбитали. Напомним,

где множитель 2 соответствует двум электронам на данной орбитали. Напомним, что α и β - отрицательные величины.

Энергию стабилизации (ΔЕπ) в результате сопряжения можно оценить сравнением с энергией локализованной системы с помощью уравнения

Елок=nπ(α+β)+niα,

где nπ - число электронов на двойных свяях (для аллильной системы nπ = 2), а ni - число неподеленных электронов (для аллильного катиона - 0, для радикала - 1, для аниона - 2). Таким образом, для всех трех частиц - катиона, радикала и аниона -

Коэффициенты можно определить подстановкой соответствующих значений Е в

Коэффициенты можно определить подстановкой соответствующих значений Е в вариационное уравнение с применением условия нормировки

Для аллильной системы вариационные уравнения имеют вид

Для аллильной системы вариационные уравнения имеют вид

Из первого уравнения

Из первого уравнения

Подстановкой во второе уравнение получим

Подстановкой во второе уравнение получим

С1 = С3.

Условие нормировки дает

Следовательно,

Таким образом, нижняя орбиталь аллильной π-системы имеет вид

Таким образом, нижняя орбиталь аллильной π-системы имеет вид

Решения для дают две другие

Решения для аллильные π-орбитали. дают две другие аллильные π-орбитали.

Страницы: 1 2 3 

Смотрите также

Изучение и анализ производства медного купороса
Целью данного дипломного проекта является изучение и анализ производства медного купороса, основанного на переработке отработанного передаточного электролита цеха электролиза меди. В хо ...

Особенности сорбционного извлечения палладия (II) из хлоридных растворов волокнами ЦМ-А2, Мтилон-Т и ВАГ
Одним из перспективных направлений в комплексном решении экологических проблем является разработка высокоэффективных процессов очистки промышленных газовоздушных выбросов, сточных вод и сре ...

Химико-технологические системы производств кремния высокой чистоты
По распространенности в земной коре (27,6%) кремний занимает второе место после кислорода. Металлический кремний и его соединения (в виде силикатов, алюмосиликатов и др.) нашли применение в ...