Умягчение воды диализом
Страница 2

где М - количество вещества, прошедшее через мембрану; ΔСср - движущая сила процесса, т е. разность концентраций вещества по обе стороны мембраны; Кд - коэффициент массопередачи, определяемый обычно экспериментально или приближенно из выражения

β1 и β2 - соответствующие коэффициенты скорости переноса вещества в концентрированном растворе к мембране и от нее в разбавленном; б - толщина мембраны; D - коэффициент диффузии растворенного вещества.

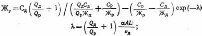
Жесткость умягченной воды после диализа:

где Сд и Ср - концентрации солей в начале аппарата соответственно в диализате и в рассоле, мг-экв/л; и Qp - производительность аппарата соответственно по диализату и рассолу, м3/ч; Жд и Жр - жесткость диализата и рассола в начале аппарата, мг-экв/л; а - константа, определяемая свойствами мембран и растворов;; L - длина пути раствора в диализатной и рассольной камерах аппарата, м; υд - скорость движения диализата в камере, м/с.

Экспериментальная проверка уравнения (20.13) на катионитовых мембранах МКК показала хорошую сходимость результатов. Анализ формулы (20.13) показывает, что уменьшение скорости движения диализата в камерах аппарата увеличивает эффект умягчения, снижение жесткости умягченной воды прямо пропорционально концентрации рассола.

Страницы: 1 2 

Смотрите также

Разработка энергосберегающей технологии ректификации циклических углеводородов
Процесс ректификации играет ведущую роль среди процессов разделения промышленных смесей. Большая энергоемкость процесса делает поиск оптимальных схем разделения актуальной задачей химическо ...

Медь
29 Cu 1 18 8 2 МЕДЬ 63,546 3d104s1 ...

Расчет ректификационной установки для разделения бинарной смеси ацетон-бензол
Ректификация - один из самых распространенных технологических процессов в химической, нефтеперерабатывающей и, во многих других отраслях промышленности. Ректификация - это процесс раздел ...