Билет №10.

Общая характеристика неметаллов главных подгрупп IV – VII групп (IV-A – VII-A) в связи с их положением в периодической системе химических элементов Д. И. Менделеева и особенностями строения их атомов. Изменение окислительно-восстановительных свойств неметаллов на примере элементов VI-A группы.

KKK

При движении сверху вниз по группам увеличивается радиус атома и следовательно уменьшаются окислительные свойства.

Сравнительная характеристика окисли­тельно-восстановительных свойств неметаллов на примере кислорода и серы.

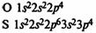
Схемы электронных оболочек:

На внешнем электронном уровне атомов кислорода и серы находится по 6 электронов.

У кислорода окислительные свойства выражены силь­нее, так как радиус атома меньше и валентные элек­троны сильнее притягиваются к ядру. Для кислорода наиболее характерна степень окисления —2, прояв­ляющаяся при достройке внешнего энергетического уровня до 8 электронов.

Сера также может являться окислителем, проявляя степень окисления —2, но характерны также степени окисления +4 (при потере 4 р-электронов) и +6 (при потере всех шести валентных электронов).

В реакциях с металлами ки­слород и сера проявляют окислительные свойства, обра­зуя оксиды и сульфиды соответственно:

В реакциях с неметаллами кислород проявляет свойства окислителя:

Сера может быть как окислителем

так и восстановителем:

Сера выступает в роли восстановителя в реакции с концентрированной азотной кислотой:

Смотрите также

Новейшие достижения современной химии
Химия постоянно развивается как наука. И не только в теоретическом аспекте. На нынешнем уровне развития человечества химические открытия приобрели огромное практическое значение в самых раз ...

Свойства и получение цинка
Элемент цинк (Zn) в таблице Менделеева имеет порядковый номер 30. Он находится в четвертом периоде второй группы. Атомный вес - 65,37. Распределение электронов по слоям 2-8-18-2 Происхож ...

Проблемы и решения на уровне структурной химии
В данном разделе речь идет об особом уровне развития химических знаний, на котором главенствующую роль играет структура молекулы реагента. Свойства веществ, и их качественное разнообразие, обусл ...